河南收藏网
欢迎您的到来!
|
石器
|
玉器
|
陶器
|
铜器
|
瓷器
|
字画
|
竹木牙雕
|
紫砂
|
老家俱
|
奇石根雕
|
币证
|
邮票
|
红藏
|
|
名胜古迹
|
工具书籍
|
全国鬼市
|
鉴定培训
|
中国钧瓷
|
古画欣赏
|
收藏论坛
|
画苑采风
|
《华夏精英》
|
|
仿古家具
|
工艺礼品
|
佛道用品
|
满园春色
|
明清家俱
|
世界名画
|
仿古建筑
|
民间绝活
|
知名品牌
|
|
河南名人
|
考古中国
|
中原考古
|
聚焦中原
|
本站公告:
祝贺陈文利当选中国美协第十届理事会理事!... [2024-01-31 22:15:27]
祝贺李明当选中国美协第十届理事会理事! [2024-01-31 22:13:37]
祝贺刘杰当选中国美术家协会副主席! [2024-01-31 22:11:34]
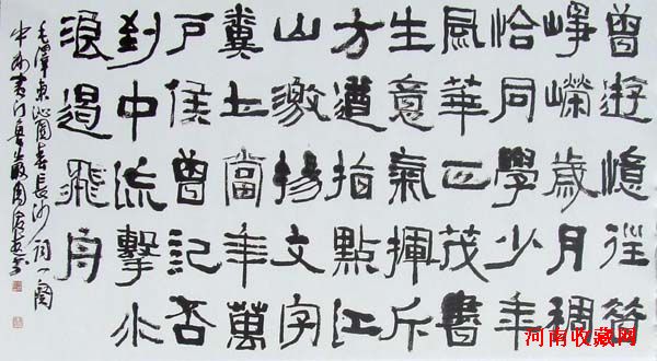
周俊杰书法艺术展《大风歌》(9)
热
周俊杰书法艺术展《大风歌》(9)
发布:
河南收藏网
点击数:1462 更新时间:2010/9/13
上一篇文章:
周俊杰书法艺术展《大风歌》(10)
下一篇文章:
周俊杰书法艺术展《大风歌》(8)
发表评论
告诉好友
打印此文
收藏此页
关闭窗口
返回顶部
最新5篇热点文章
为何恽寿平扇面屡创新...
郑州商城3600年
寻迹函谷关
社旗山陕会馆
张宪斌当选河南省书画...
卫辉匾额
范玉星——河南省书协...
最新5篇推荐文章
为何恽寿平扇面屡创新...
张宪斌当选河南省书画...
卫辉匾额
范玉星——河南省书协...
河南省书画收藏协会任...
国宝文物“子弹库帛书...
中国最早的玉覆面和“...
相 关 文 章
网友评论:
(只显示最新50条。评论内容只代表网友观点,与本站立场无关!)
|
设为首页
|
加入收藏
|
关于本站
|
版权所有 Copyrigh2006-2025 河南收藏网
Email:henanshoucang@163.com
地址:河南*郑州*收藏
未经河南收藏网书面特别授权,请勿转载或建立镜像